В алгебре логики известны три основные логические операции:

| Аргументы | Логические операции (булевы функции) | ||||
|---|---|---|---|---|---|
| А | В | И | ИЛИ | НЕ | |
| A·B | A+B | A | B | ||
| 0 | 0 | 0 | 0 | 1 | 1 |
| 0 | 1 | 0 | 1 | 1 | 0 |
| 1 | 0 | 0 | 1 | 0 | 1 |
| 1 | 1 | 1 | 1 | 0 | 0 |
| Операторы VHDL | A and B | A or B | not A | not B | |
Набор операторов (операций) в VHDL обеспечивает возможность работы с предусмотренными типами данных. Список операций приведен в таблице ниже. Строки таблице располагаются в порядке приоритетов (от низшего к высшему) операторов. Операторы, находящиеся в одной строке, обладают одинаковым приоритетом. Таким образом, операции нижней строки обладают наибольшим приоритетом и выполняются первыми.
Исходя из контекста VHDL-кода следует отличать оператор <= (назначение сигнала) и оператор <= (меньше либо равно). Следует также отличать унарные операции присвоения знака +, - от соответствующих бинарных операций сложения и вычитания. Для устранения неоднозначностей трактовки старшинства операций используются скобки. Например, выражение "A nand B nand C" неверно (синтаксическая ошибка). Данное выражение не представляет трехвходовый элемент И-НЕ (трехвходовую NAND-ячейку). Правильная запись "not (A and B and C) ". Запись "A nand (B nand C)" не есть то же самое, что "(A nand B) nand C".
Операции языка VHDL:
| Приоритет | Классы операторов |
Обозначение | Название |
|---|---|---|---|
| 0 (низкий) | Логические | and or nand nor xor xnor |
логическое И логическое ИЛИ логическое И-НЕ логическое ИЛИ-НЕ исключающее ИЛИ эквивалентность |
| 1 | Отношения | = < > <= >= /= |
равно меньше больше меньше либо равно больше либо равно не равно |
| 2 | Сдвиги (VHDL 2008, определены для std_logic_vector) | sll srl sla sra rol ror |
логический сдвиг влево логический сдвиг вправо арифметический сдвиг влево арифметический сдвиг вправо циклический сдвиг влево циклический сдвиг вправо |
| 3 | Сложение | + – & |
сложение + вычитание - конкатенация |
| 4 | Унарные | +, – | присвоение знака + присвоение знака - |
| 5 | Умножение | * / mod rem |
умножение деление модуль остаток |
| 6 (высокий) | Вспомогательные | ** abs not |
возведение в степень абсолютное значение логическое НЕ |
Примеры арифметических операторов
Сложение (+)
RealX2+2.0 -- если RealX2 есть сигнал типа -- вещественный, то число 2 должно -- быть записано как вещественное1us+3ns -- 1003ns
Вычитание (–)
8.33–5 -- неправильно, оба числа должны -- быть одного типаBusWidth – 1 -- допустимо, если BusWidth типа integer
Умножение (*)
4*SomeVal -- допустимо, если SomeVal -- типа Integer или TimeMult*5ns -- результат типа Integer либо Real -- в зависимости от типа Mult
Деление (/)
CLK/2 -- тип CLK – Integer5.0/2.0 -- результат – вещественное число 2.510ns/2ns -- результат 5 типа Integer, но не Time
Модуль (mod)
6 mod 4 -- результат 26 mod (–4) -- результат –2(–6) mod 4 -- результат 2
Остаток деления (rem)
6 rem 4 -- результат 26 rem (–4) -- результат 2(-6) rem 4 -- результат –2
Возведение в степень (**)
с**0.5 -- неправильно в VHDLB**3 -- эквивалентно B*B*B
Абсолютное значение (abs)
abs 1 -- результат 1abs(–1) -- результат 1abs(5*(–2)) -- результат 10
Логические операторы выполняются для следующих типов данных:
Логические операторы and, or, xor имеют одинаковый приоритет и выполняются слева направо.
Оператор not имеет более высокий приоритет и выполняется прежде других операторов.
В сложных логических выражениях порядок выполнения операторов регулируетсяскобками.
Например, для выражения
Z <= A and not B or C;
будет только отрицание B, в выражении
Z <= A and not (B or C);
будет отрицание подвыражения B or C, находящегося в скобках.
На схеме ниже показаны три логических блока. Если предположить, что входной набор 1 (для логического блока 1) и входной набор 2 (для логического блока 2) изменяются одновременно, то выходы логических блоков 1, 2 будут изменяться также одновременно. Выход логического блока 3 будет изменяться чуть позже, в то время как через блоки 1, 2 могут проходить (конвейерным способом) измененные значения сигналов других входных наборов. Таким образом, поток сигналов может проходить через все блоки одновременно.
В языке VHDL процесс активизируется, когда происходит изменение какого-либо сигнала в списке сигналов запуска этого процесса (или в списке чувствительности (sensitivity list)). В общем случае список сигналов запуска содержит входной набор сигналов соответствующего логического блока.
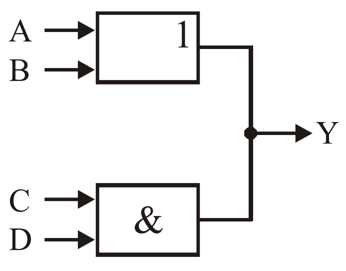
Рассмотрим схему с монтажным соединением выходных полюсов элементов.
! Можно определять только по одному драйверу на сигнал в процессе.
Так как в каждом процессе сигнал должен иметь только один источник, то, в случае, если имеется несколько источников сигнала, требуется специальная (разрешающая) функция, которая будет вычислять значение сигнала по значениям этого сигнала из нескольких драйверов.
Например, сигнал Y имеет два источника, и, соответственно, два драйвера. Для такого сигнала требуется разрешающая функция. Подробнее эта проблема будет рассмотрена далее.
Параллельные операторы в VHDL определяют параллельное (во времени) поведение схем.
! Порядок выполнения параллельных операторов не связан с порядком их появления внутри архитектурного тела.
Параллельные операторы активизируются сигналами, которые употребляются для связи параллельных операторов. Последовательные операторы выполняются в порядке их появления в VHDL-коде.
Параллельные операторы: 1. оператор process (процесс); 2. оператор параллельного сообщения; 3. оператор параллельного вызова процедуры; 4. оператор условного назначения сигнала; 5. оператор select выборочного назначения сигнала; 6. оператор конкретизации (создания экземпляра) компонента; 7. оператор generate (генерации); 8. оператор block (блок).
Оператор процесса есть параллельный оператор, который определяет независимое последовательное поведение некоторой части проекта, описанное упорядоченной совокупностью последовательных операторов.
Метка процесса необязательна, однако если она есть в конце (после слов end process), то она должна быть и вначале перед словом process.
Общий вид оператора process (процесс)
[имя процесса :] [postponed] process [(список чувствительности)] раздел деклараций begin упорядоченное множество последовательных операторов end process [имя процесса];
В декларативной части процесса могут быть:
! Процесс может иметь список сигналов запуска и один (или более) операторов ожидания, но не оба вместе.
! Сигналы не могут быть декларированы внутри процессов.
! Ожидание (wait) в начале процесса не эквивалентно ожиданию в списке чувствительности процесса.
Операторы сообщений проверяют, является ли условие истинным (TRUE), и сообщают об ошибке, если условие является ложным. По умолчанию сообщенное выражение есть "Assertion violation" (нарушение).
Выражение с ключевым словом severity (severity – степень серьезности) имеет перечислимый тип: NOTE, WARNING, ERROR, FAILURE.
Оператор assert может быть использован как в качестве параллельного оператора, так и в качестве последовательного оператора
Общий вид оператора assert
assert условие [report выражение ] [severity выражение ];
Примеры:
assert (CLK'event and CLK='0') report "D hold error" severity WARNING; assert (CLK'last_event > HOLD) report "D hold error" severity ERROR;
В данных примерах атрибут CLK'last_event имеет тип TIME и возвращает время, пройденное с момента последнего изменения сигнала CLK, HOLD – имеет тип TIME. Условие CLK'last_event>HOLD может быть либо истинным, либо ложным.
Оператор параллельного вызова процедуры представляет процесс, содержащий оператор последовательного вызова процедуры. Его выполнение эквивалентно оператору процесса. Иначе говоря, процедуры могут вызываться параллельно.
Общий вид оператора
[метка:] оператор вызова процедуры
Пример:
6 architecture RTL of call_parallel is 7 procedure N_XOR ( signal x1, x2, x3 : in bit; 8 signal f : out bit) is 9 begin 10 f <= x1 xor x2 xor x3; 11 end N_XOR; 12 begin 13 N_XOR (x1=> data_inp(5), x2 => data_inp(4), x3 => data_inp(3), f => data_out(1)); 14 p0 : N_XOR (data_inp(2), data_inp(1), data_inp(0), data_out(0)); 15 end RTL;
! Каждый формальный параметр процедуры должен быть типа константы или сигнала.
Oператор параллельного назначения сигнала эквивалентен оператору процесса, назначающему значения сигналам.
Могут быть употреблены опции guarded (охраняемый) transport (транспортный).
Общий вид оператора
[guarded][transport]
{назначение сигнала when условие else} сигнал;
Пример, показывающий эквивалентность параллельного оператора условного назначения сигнала (архитектурное тело first) и оператора процесса (архитектурное тело second).
entity example_condition is port ( x1, x2, x3, x4 : in bit; condition : in bit_vector(1 downto 0); F : out bit); end example_condition; architecture first of example_condition is begin F <= x1 when condition = "00" else x2 when condition = "01" else x3 when condition = "10" else x4; end first; architecture second of example_condition is begin process (x1, x2, x3, x4, condition ) begin if (condition = "00") then F <= x1; elsif (condition = "01") then F <= x2; elsif (condition = "10") then F <= x3; else F <= x4; end if; end process; end second;
Выполняться назначение для первого выполненного условия.
Общий вид оператора select (выбирать)
with выражение select
имя сигнала <= [guarded][transport]
{имя сигнала when условие выбора, }
имя сигнала условие выбора;
Пример, показывающий эквивалентность параллельного оператора выборочного назначения сигнала (архитектурное тело first) и оператора процесса (архитектурное тело second)
entity example_selection is port ( x1, x2, x3, x4 : in bit; selection : in bit_vector(1 downto 0); F : out bit); end example_selection; architecture first of example_selection is begin with selection select F <= x1 when "00", x2 when "01", x3 when "10", x4 when others; end first; architecture second of example_selection is begin process (x1, x2, x3, x4, selection) begin case selection is when "00" => F <= x1; when "01" => F <= x2; when "10" => F <= x3; when others => F <= x4; end case; end process; end second;
Этот оператор употребляется для структурной организации проекта. Часть схемы (подсхема) описывается как компонент (component), имеющий имя (name).
Одна и та же подсхема может входить в схему несколько раз, однако при этом она имеет различные связи.
Чтобы описать эти связи, употребляется оператор создания экземпляра компонента (оператор конкретизации компонента), т.е. имеется в виду конкретизация связей данной подсхемы.
Общий вид оператора конкретизации компонента (оператора создания экземпляра компонента)
метка : имя компонента
[generic (список параметров);]
[port map (список портов)];
Соответствие портов при создании экземпляров компонентов может быть осуществлено позиционным сопоставлением и ключевым соответствием, с использованием оператора "=>"
Пример
p1: A port map (x1 => x1, y1 => w) ; -- ключевое соответствие p2: B port map (w, z) ; -- позиционное соответствие p3: C port map (y3 => v, x3 => z) ; -- ключевое соответствие
Каждый параллельный процесс может быть в одном из трех состояний:
В реальной системе процессы могут протекать параллельно (одновременно в различных элементах). В ЭВМ общего назначения параллелизм имитируется программно.
Поэтому только один процесс из нескольких параллельных процессов является "выполняющимся" по существу. Реализация параллельных процессов происходит следующим образом.
Параллельные процессы, которые надо выполнять "одновременно", выстраиваются в очередь. Система моделирования выбирает процесс из очереди активных процессов и выполняет процесс,
тем самым исполняет предложения языка VHDL, относящиеся к данному процессу. Другие активные процессы выбираются поочередно. Заметим, что выполненный процесс является приостановленным.
Когда очередь активных процессов пуста, считается, что все параллельные процессы выполнились "одновременно", и может начаться следующий цикл моделирования.
Приостановленный процесс может стать активным, когда изменился хотя бы один из драйверов сигналов из списка чувствительности этого процесса.
Рассмотрим простую двухуровневую логическую схему и ее описание в языке VHDL в виде параллельных процессов.
entity ANDOR is port( x1, x2, x3 : in bit; f : out bit); end ANDOR; architecture example of ANDOR is signal w : bit; begin p0 : w <= x1 and x2 after 10 ns; p1 : process (w, x3) begin f <= w or x3 after 20 ns; end process p1; end example;
Во время фазы инициализации каждый сигнал из множества {x1,x2,x3} имеет значение 0. Затем, если в начальный момент времени сигналы x1, x2 и x3 изменятся, то начнёт выполняться процесс p0, поскольку цикл моделирования начинается, когда хотя бы один из сигналов изменится.
В процессе p0 будет вычислено w и процесс p0 приостановится. Затем вычисляется значение f через 30ns, так как 10ns выполняется процесс p0 и 20ns – процесс p1.
Временная диаграмма изображена на рисунке ниже.

Заметим, что если сигнал x1 при декларации не имеет начального значения, то по умолчанию он принимает значение левой границы (x1'left) декларируемого типа. Например,
signal I: integer range 0 to 3; -- при инициализации значение 0; signal X : std_logic; -- при инициализации значение 'U'.
Изменим архитектурное тело example для entity ANDOR, удалив ключевые слова after и конкретные временные задержки, – тем самым логические операции and, or будут срабатывать "мгновенно".
architecture DELTA_example of ANDOR is signal w : bit; begin p0 : w <= x1 and x2; -- нет слова after p1 : process (w, x3) begin f <= w or x3; -- нет слова after end process p1; end DELTA_example;
![]() |
![]() |
|---|
В 80 ns входной сигнал x2 изменился, что послужило причиной изменения сигнала w и причиной изменения сигнала f. Эта ситуация очерчена лупой на временной диаграмме выше.
Все это случилось точно в то же время. Рассмотрим более подробно, что же произошло в момент времени 80 ns. В 80ns входной сигнал x2 изменяется.
Начинается цикл моделирования. Активизируется процесс p0, выполняется, приостанавливается. Сигнал w изменяется в 0. Резонно сказать, что сигнал w изменился после сигнала x2.
Мы будем ссылаться на время между изменениями этих сигналов как на время дельта, или дельта-задержку.
Изменение сигнала w служит причиной для процесса p1, который активизируется, выполняется, приостанавливается. Сигнал f изменяется после изменения сигнала w.
Появляется другая дельта-задержка. В системах моделирования обычно на временных диаграммах дельта-задержки не показываются.
Например, в системе моделирования ModelSim их можно видеть в специальном окне текстового (табличного) представления результатов моделирования.
Понятие дельта-задержки есть основное понятие моделирования в языке VHDL.
В одно и то же время (физическое) много сигналов могут изменяться и много процессов могут быть активными.
После того как все процессы пришли в состояние "приостановленный", система моделирования увеличивает время моделирования.
Итак, ответом на вопрос "Что представляет собой дельта-задержка, или просто дельта?" является следующее:
! Дельта – это один цикл прогона VHDL-модели.
VHDL-модель, имитирующая поведение цифровой системы, состоит из множества процессов.
Во время прогона модели в данном цикле запускаются все процессы, входные параметры которых изменились с момента выполнения последнего цикла.
После того как все процессы выполнены, данный цикл моделирования считается завершенным.
Следующий цикл начнется после того, как в очередной раз произойдет изменение какого-то входного сигнала для какого-то процесса.
Этот период может составлять наносекунды времени моделирования или может просто означать, что мы перешли на следующий цикл моделирования, т.е. сделали временной шаг дельта.
Шаг величиной дельта образуется, например, при выполнении операторов назначения сигналов (в рассмотренном примере это сигналы w, f), не имеющих фразы after.
С точки зрения логической схемы дельта – это задержка на одном уровне (каскаде) логики, когда не задана конкретная задержка логического элемента.
Оператор блока определяет часть проекта (часть VHDL-описания цифровой системы, схемы).
Блок – это ограниченный фрагмент VHDL-кода, содержащий раздел описания и исполняемый раздел.
Блоки могут быть иерархически вложены и поддерживать тем самым декомпозицию проекта.
Общий вид оператора block (блок)
имя блока (метка): block[(охранное выражение)]
заголовок блока
раздел деклараций
begin
параллельные операторы
end block[имя блока];
! Метка необходима в операторе блока.
В разделе деклараций блока размещаются
Параллельные операторы размещаются в теле блока. Блоки могут быть вложены.
architecture XX of SYSTEM is - - - - -- раздел описаний внешнего блока - - - - - - - - begin -- выполнимые операторы внешнего блока - - - - - - - - A: block - - - - -- раздел описаний внутреннего блока A - - - - begin -- выполнимые операторы внутреннего блока A - - - - - - - - end block A; B: block - - - - -- раздел описаний внутреннего блока B - - - - begin -- выполнимые операторы внутреннего блока B - - - - - - - - end block B; end XX;
Обсудим теперь охранные выражения блоков. Рассмотрим архитектурное тело add1_e одноразрядного сумматора в виде охраняемого блока.
entity add1_e is port (b1,b2,enable : in BIT; c1,s1 : out BIT); end add1_e; architecture struct_3 of add1_e is begin p0: block (enable = '1') begin s1<= guarded (b1 xor b2); c1<= guarded (b1 and b2); end block p0; end struct_3;
Охранным выражением блока является выражение enable = 1. Если это выражение принимает значение true (истина), то охраняемые конструкции (назначения сигналов) выполняются, т.е. одноразрядный сумматор складывает числа, если же значение выражения является false (ложь), то охраняемые назначения сигналов не выполняются, т.е. сумматор не складывает числа b1, b2. Охрана назначения сигналов осуществляется указанием ключевого слова guarded.